ProtaStructure calculates non-structural member forces according to EC8 Chapter 4.3.5.
In the current document, calculations details about non-structural members earthquake force and parameters such as seismic coefficient are explained.

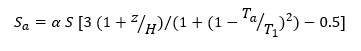
S : Soil factor
Ta : Fundamental vibration period of the non-structural element
T1 : Fundamental vibration period of the building in the relevant direction
z : Height of the non-structural
element above the level of application of the seismic
action
(foundation or top of a rigid basement)
H : Building height measured from the foundation or the top of a rigid basement
According to EC8 4.3.5.2 (2) horizontal seismic force, Fa, is defined as,” the horizontal seismic force, acting at the center of mass of the non-structural element in the most unfavorable direction”. Calculation details are given in subclause 4.3.5.2 (3) which states the formula (4.24) given below.
Sa : Seismic coefficient applicable to non-structural members
Wa : Weight of the non-structural member
qa : Behavior factor of the non-structural member
γa : Importance factor for the member, according to EC8. 4.3.5.3
In this article, calculation details of seismic forces
acting on the non-structural elements according to EC8. Clause 4.3.5 is
explained. Results of the “Non-Structural Member Force Calculator” macro are
verified with hand calculations.