In this document, calculation and decomposition of loads on
ribbed and waffle slabs are explained. Modelling and design of ribbed and
waffle slabs are out of scope of this document.
Stiffness of slabs in a floor level can optionally be included in the entire building analysis. Load decomposition can also be done automatically using the connectivity information.
For this, you have to check the "Include Slabs in Building Model"
option. All of your floors must be selected from storeys to be meshed menu.

All loads are distributed automatically during the building analysis. ‘Use
Decomposed Slab Loads in Meshed Storeys’ option must be unchecked.
The waffle slab dimensions is given below:
s = 700 mm, bw = 100 mm, h = 350 mm, htop = 100 mm, Lx = 5000 mm, Ly = 7000 mm, nx = 8, ny = 5
ɣcon = 25 kN/m3, ɣspacer = 0 (no spacer)
The self weight calculation depends on calculation of a single waffle cell.
Gross volume of cell
Volume of spacing
Weight of concrete
Weight of spacer blocks (No spacer blocks
in this example)
Plan Area of One Cell
In order to model beams quickly, you can also convert rib beams to regular beams. This allows you to consider rib beam stiffnesses in building analysis and load decomposition is done similar to regular beams. The waffle or ribbed slab is automatically deleted after conversion.
To convert rib beams to regular beams,
· Select waffle or ribbed slab
· Right Click and select “Convert Ribs to Beam Elements”
You can optionally decompose the slab loads as uniformly distributed load on the newly generated beam elements by selecting “Transfer Ribbed Slab Loads to the Beams as UDLs”
Result is as follows.
When the ribs are converted to regular beam members – if Transfer Ribbed Slab Loads as UDLs option is selected- it is assumed that weight of the slab is equally shared between Direction-1 and Direction-2 ribs.
Tributory Length for Direction-1 Rib Beams
Uniformly distributed load on direction-1
beams
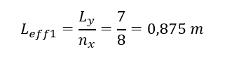
Tributary Length for Direction-2 Rib Beams
Uniformly distributed load on direction-2
beams
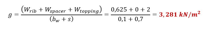
The ribbed slab dimensions is given below:
s = 700 mm, bw = 100 mm, h = 350 mm, htop = 100 mm, Lx = 5000 mm, Ly = 7000 mm, ny = 5
ɣcon = 25 kN/m3, ɣspacer = 0 (no spacer)
Weight of Rib Beams without topping for unit length
Weight of Spacer for unit length (no
spacer block)
Weight of topping
Distributed Self Weight of Ribbed Slab,
Steps for converting rib beams to regular beams are identical with waffle slabs.
When the ribs are converted to regular beam members – if Transfer Ribbed Slab Loads as UDLs option is selected- it is assumed that weight of the slab is uniformly distributed on the rib beams.
Tributary Length for Rib Beams
Uniformly distributed load on rib beams